首 页
公司简介
产品世界
新闻动态
技术支持
施工现场
生产设备
资质文件
服务理念
联系我们
站内公告:
我公司有专业强大的施工队伍,为客户提供一站式的服务。(过滤器滤料安装、滤池滤料装填、沉淀池斜管安装及其它项目安装)。
本公司产品已通过ISO9001:2008质量体系认证,主要产品有:聚丙烯酰胺、聚合氯化铝、聚合氯化铝铁、聚合氯化铁、硫酸亚铁、果壳活性炭、棷壳活性炭、纤维球、纤维束、峰窝填料等系列产品。
净水药剂系列
阳离子聚丙烯酰胺
阴离子聚丙烯酰胺
非离子聚丙烯酰胺
两性离子聚丙烯酰
超高分子量离子聚
聚合氯化铝
聚氯化铝铁
硫酸亚铁
聚合硫酸铝
聚合硫酸铁
铝酸钙粉
碱式氯化铝
阻垢剂系列
YX-503型锅
YX-601型钢
YX-604型电
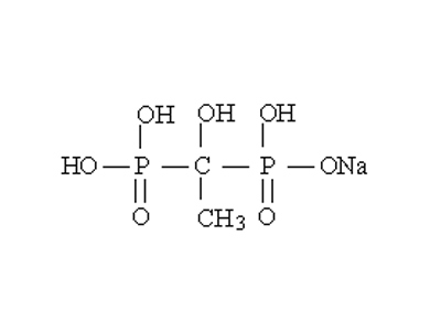
聚丙烯酸 PAA
聚丙烯酸钠 PA
水解聚马来酸酐
马来酸-丙烯酸共
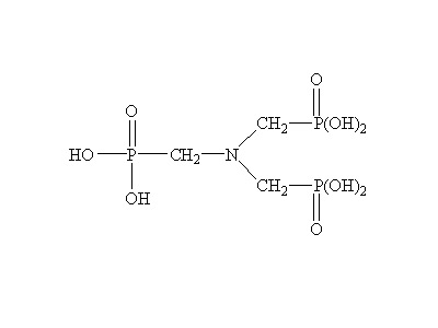
氨基三甲叉膦酸四
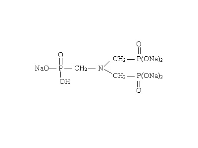
氨基三甲叉膦酸五
氨基三甲叉膦酸钾
羟基乙叉二膦酸钠
YX-0100型
YX-150型反
YX-200型反
YX-191反渗
活性炭系列
果壳活性炭
椰壳活性炭
柱状活性炭
木质粉状活性炭
空气净化炭
味精专用炭
精脱硫用煤质活性
自来水用木质粉状
印染处理炭
工业活性炭
果壳水处理炭
污水处理活性炭
椰壳净水活性炭
净水滤料系列
纤维球
改性纤维球
纤维束
鹅卵石
焦炭滤料
海绵铁滤料
麦饭石滤料
沸石滤料
泡沫滤珠滤料
金刚砂滤料
石榴石滤料
活性氧化铝
无烟煤滤料
石英砂滤料
磁铁矿滤料
果壳滤料
锰砂滤料
稀土瓷砂滤料
页岩陶粒滤料
天然海砂滤料
净水填料系列
斜管填料
组合性填料
鲍尔环填料
多面空心球填料
液面覆盖球
反冲洗滤帽
多孔球型悬浮(生
半软性填料
弹性填料
膜片式微孔曝气器
旋混式曝气器
散流式曝气器
生物流化床填料
彗星式纤维滤料
花环填料
不锈钢填料
产品中心
YX-191反渗透阻垢剂、分散剂
YX-200型反渗透阻垢剂、分散剂
YX-150型反渗透阻垢剂、分散剂
YX-0100型反渗透阻垢剂、分散剂
羟基乙叉二膦酸钠 HEDP•Na
氨基三甲叉膦酸钾 ATMP•Kx
氨基三甲叉膦酸五钠 ATMP•Na5
氨基三甲叉膦酸四钠 ATMP•Na4
马来酸-丙烯酸共聚物 MA-AA
水解聚马来酸酐 HPMA
聚丙烯酸钠 PAAS
聚丙烯酸 PAA
YX-604型电厂专用缓蚀阻垢剂
YX-601型钢铁厂专用缓蚀阻垢剂
YX-503型锅炉专用缓蚀阻垢剂
共
15
条记录 页次:
1
/1 每页:
20
条记录
1
友情链接:
果壳活性炭
海绵铁滤料
滤料
无烟煤滤料
净水剂
斜管
马可波罗
中国水网
中国水网
生意宝
火山岩生物滤料
版权所有 巩义市亿鑫净水材料有限公司 技术支持:华威网络 豫ICP备11029581号
管理入口
地址:巩义市杜甫路 电话:0371-66556466 手机:13849066148,13598076599 联系人:康先生